1,8-Diazabicyclo[5.4.0]undec-7-ene
DBU molecule
Names
Preferred IUPAC name
2,3,4,6,7,8,9,10-Octahydropyrimido[1,2-a]azepine
Other names
DBU, Diazabicycloundecene
Identifiers
3D model (JSmol)
ChemSpider
ECHA InfoCard 100.027.013
EC Number
  • 229-713-7
UNII
  • InChI=1S/C9H16N2/c1-2-5-9-10-6-4-8-11(9)7-3-1/h1-8H2 checkY
    Key: GQHTUMJGOHRCHB-UHFFFAOYSA-N checkY
  • InChI=1/C9H16N2/c1-2-5-9-10-6-4-8-11(9)7-3-1/h1-8H2
    Key: GQHTUMJGOHRCHB-UHFFFAOYAM
  • N\2=C1\N(CCCCC1)CCC/2
Properties
C9H16N2
Molar mass 152.241 g·mol−1
Appearance Colorless liquid
Density 1.018 g/mL liquid
Melting point −70 °C (−94 °F; 203 K)
Boiling point 80 to 83 °C (176 to 181 °F; 353 to 356 K) (0.6 mmHg); 261 °C (1 atm)
Acidity (pKa) 13.5±1.5[1] (pKa of conjugate acid in water); 24.34[2] (pKa of conjugate acid in acetonitrile)
Hazards
GHS labelling:
GHS05: CorrosiveGHS06: ToxicGHS07: Exclamation mark
Danger
H301, H302, H312, H314, H412
P260, P264, P270, P273, P280, P301+P310, P301+P312, P301+P330+P331, P302+P352, P303+P361+P353, P304+P340, P305+P351+P338, P310, P312, P321, P322, P330, P363, P405, P501
Flash point 119.9 °C (247.8 °F; 393.0 K)
Except where otherwise noted, data are given for materials in their standard state (at 25 °C [77 °F], 100 kPa).
checkY verify (what is checkY☒N ?)
Infobox references

1,8-Diazabicyclo[5.4.0]undec-7-ene, or more commonly DBU, is a chemical compound and belongs to the class of amidine compounds. It is used in organic synthesis as a catalyst, a complexing ligand, and a non-nucleophilic base.[3]

Occurrence

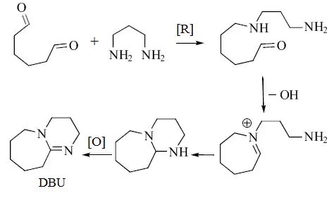
Although all commercially available DBU is produced synthetically, it may also be isolated from the sea sponge Niphates digitalis.[4] The biosynthesis of DBU has been proposed to begin with 1,6-hexanedial and 1,3-diaminopropane.

Proposed pathway for the biosynthesis of DBU in sponges.[4]

Uses

As a reagent in organic chemistry, DBU is used as a catalyst, a complexing ligand, and a non-nucleophilic base. It is also used as a curing agent for epoxy resins.

It is used in the separation of fullerenes in conjunction with trimethylbenzene. It reacts with C70 and higher fullerenes, but not with to C60

It is also used as a catalyst in the production of polyurethanes. It also exhibited its dual character (base and nucleophile) in the synthesis of aryl- and styryl-terminal acetylenes.

See also

References

  1. Kaupmees, K.; Trummal, A.; Leito, I. (2014). "Basicities of Strong Bases in Water: A Computational Study". Croat. Chem. Acta. 87 (4): 385–395. doi:10.5562/cca2472.
  2. Kaljurand, I.; Kütt, A.; Sooväli, L.; Rodima, T.; Mäemets, V.; Leito, I.; Koppel, I. A. (2005). "Extension of the Self-Consistent Spectrophotometric Basicity Scale in Acetonitrile to a Full Span of 28 pKa Units: Unification of Different Basicity Scales". J. Org. Chem. 70 (3): 1019–1028. doi:10.1021/jo048252w. PMID 15675863.
  3. Ghosh, Nandita (2004). "DBU (1,8-diazabicyclo[5.4.0]undec-7-ene) - A Nucleophillic Base". Synlett (3): 574–575. doi:10.1055/s-2004-815436.
  4. 1 2 E. L. Regalado; Judith Mendiola; Abilio Laguna; Clara Nogueiras; Olivier P Thomas (2010). "Polar alkaloids from the Caribbean marine sponge Niphates digitalis". Nat. Prod. Commun. 5 (8): 1187–1190. PMID 20839615.
This article is issued from Wikipedia. The text is licensed under Creative Commons - Attribution - Sharealike. Additional terms may apply for the media files.