![]() | |
| Identifiers | |
|---|---|
| |
| CAS Number | |
| UNII | |
| Chemical and physical data | |
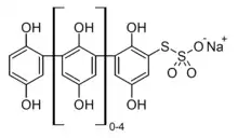
| Formula | C12+6nH9+4nNaO7+2nS2 |
Sodium polydihydroxyphenylene thiosulfonate (гипоксен, Hypoxen) is under laboratory studies in Russia as a potential regulator of cell metabolism.[1] It is purported to affect mitochondrial function,[2] though this has not been proven in any high-quality, peer-reviewed publications.
It is registered in Russia as an antihypoxic agent, but has not been subjected to any clinical trials meeting internationally accepted standards, and has no regulatory approval as a prescription drug outside Russia and some former Soviet states. Although called an "oxygen booster" in public media to imply its potential to "increase endurance and reduce fatigue",[3][4] there is no scientific evidence it has this property, and it is not used in conventional cardiology as a therapy for treating heart disease.[5]
Hypoxen is sold online without a prescription, mainly from Russian websites, and does not appear to be sold in health stores in the United States.[5] Hypoxen is not listed on the prohibited substance list of the World Anti-Doping Agency.[5] In 2017, the United States Anti-Doping Agency applied to have hypoxen banned from athletic competitions, but the ban was not implemented.[3]
It has been identified in tests on athletes in competition, such as Kamila Valieva, a Russian figure-skater competing at the 2022 Winter Olympics, but is not itself banned in international competitions, as of 2022.[4][6]
It is claimed to be a polymeric mixture containing between 2 and 6 repeat units of 2,4-dihydroxyphenylene with a thiosulphonate group joined at the end.[7][8]
See also
References
- ↑ Novikov VE, Levchenkova OS, Ivantsova EN, Vorobieva VV (2019). "Mitochondrial dysfunctions and antihypoxants". Reviews on Clinical Pharmacology and Drug Therapy. 17 (4): 31–42. doi:10.17816/RCF17431-42. S2CID 214116979.
- ↑ Kosenko EA, Abramova MB, Venediktova NI, Popova II, Kaminskii YG (August 2010). "The drug hypoxen: A new inhibitor of mitochondrial respiration and dehydrogenases". Biology Bulletin of the Russian Academy of Sciences. 37 (4): 346–350. doi:10.1134/S1062359010040035. S2CID 33122047.
- 1 2 Selina Wang, Simone McCarthy, Hannah Ritchie (16 February 2022). "Kamila Valieva: US anti-doping chief questions skater's drug regimen to 'increase endurance and reduce fatigue'". CNN. Retrieved 18 February 2022.
{{cite news}}: CS1 maint: multiple names: authors list (link) - 1 2 Schad T (16 February 2022). "What we know now: The latest developments in Kamila Valieva's doping case". USA Today. Retrieved 18 February 2022.
- 1 2 3 Kolata G (15 February 2022). "Cardiologists question the utility of the drugs found in Valieva's blood". The New York Times. Retrieved 16 February 2022.
- ↑ Panja T (15 February 2022). "Kamila Valieva's sample included three substances sometimes used to help the heart. Only one is banned". The New York Times. Retrieved 16 February 2022.
- ↑ RU 2105000, Popov VG Igumnova EM, "[poly-(2,5-dihydroxyphenylene)]-4-thiosulfoacid sodium salt as regulating agent of cell metabolism and a method of its synthesis.", issued 20 February 1998
- ↑ Novikov KN, Berdnikova NG, Novikov AK, Lyusina OY, Muhitova OG, Yablonskaya OI, et al. (February 2012). "Changes in chemiluminescence of whole blood of COPD patients treated with Hypoxen and effects of C60 fullerenes on blood chemiluminescence". Medical Science Monitor. 18 (2): BR76–BR83. doi:10.12659/msm.882460. PMC 3560587. PMID 22293870.
