Alclofenac
Clinical data
AHFS/Drugs.comInternational Drug Names
ATC code
Identifiers
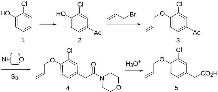
  • 2-(3-chloro-4-prop-2-enoxyphenyl)acetic acid
CAS Number
PubChem CID
ChemSpider
UNII
KEGG
ChEMBL
CompTox Dashboard (EPA)
ECHA InfoCard100.040.709
Chemical and physical data
FormulaC11H11ClO3
Molar mass226.66 g·mol−1
3D model (JSmol)
  • Clc1cc(ccc1OC\C=C)CC(=O)O
  • InChI=1S/C11H11ClO3/c1-2-5-15-10-4-3-8(6-9(10)12)7-11(13)14/h2-4,6H,1,5,7H2,(H,13,14) checkY
  • Key:ARHWPKZXBHOEEE-UHFFFAOYSA-N checkY
  (verify)

Alclofenac is a nonsteroidal anti-inflammatory drug (NSAID).

Synthesis

Alclofenac synth:[1][2][3]

References

  1. Gaviraghi G, Banfi S, Cornelli U, Pinza M, Pifferi G (April 1977). "Synthesis and antiinflammatory activity of 3-chloro-4-cyclopropylmethoxyphenylacetic acid and its alpha-methyl homologue". Il Farmaco; Edizione Scientifica. 32 (4): 286–95. PMID 862882.
  2. CA 831040, Gillet C, Buu HN, Lambelin G, "Substituted Phenylacetic Acids and Processes of Preparation Thereof", published 30 December 1969, assigned to Madan Ag
  3. US 3824277, Gillet C, Buu HN, Lambelin G, "4-Allyloxy-3-chloro-phenyl-acetic acid", published 16 July 1974, assigned to Madan Ag
This article is issued from Wikipedia. The text is licensed under Creative Commons - Attribution - Sharealike. Additional terms may apply for the media files.