![]() | |
| Names | |
|---|---|
| Other names
Stachyurin | |
| Identifiers | |
3D model (JSmol) |
|
PubChem CID |
|
| UNII | |
CompTox Dashboard (EPA) |
|
| |
| |
| Properties | |
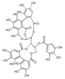
| C41H28O26 | |
| Molar mass | 936.64 g/mol |
Except where otherwise noted, data are given for materials in their standard state (at 25 °C [77 °F], 100 kPa).
Infobox references | |
Casuarinin is an ellagitannin. It is found in the pericarp of pomegranates (Punica granatum). It is also found in Casuarina and Stachyurus species[1] and in Alnus sieboldiana.[2]
It is an isomer of casuarictin. It is a highly active carbonic anhydrase inhibitor.[3]
Biosynthesis
In some plants including oak and chestnut, the ellagitannins are formed from 1,2,3,4,6-pentagalloyl-glucose and further elaborated via oxidative dehydrogenation (tellimagrandin II and casuarictin formations). After conversion of casuarictin to pedunculagin, the pyranose ring of the glucose opens and the family of compounds including casuariin, casuarinin, castalagin, and castlin, vescalagin and vescalin forms.[4]
References
- ↑ Okuda, T.; T. Yoshida; M. Ashida; K. Yazaki (1983). "Tannins of Casuarina and Stachyurus species. I: Structures of pendunculagin, casuarictin, strictinin, casuarinin, casuariin, and stachyurin". Journal of the Chemical Society (8): 1765–1772.
- ↑ Structures of alnusiin and bicornin, new hydrolyzable tannins having a monolactonized tergalloyl group. Yoshida T, Yazaki K, Memon M.U, Maruyama I, Kurokawa K, Shingu T and Okuda T, Chemical and pharmaceutical bulletin, 1989, volume 37, number 10, pages 2655-2660, INIST 19467830 (abstract)
- ↑ Satomi, H.; Umemura, K.; Ueno, A.; Hatano, T.; Okuda, T.; Noro, T. (1993). "Carbonic anhydrase inhibitors from the pericarps of Punica granatum L". Biological & Pharmaceutical Bulletin. 16 (8): 787–790. doi:10.1248/bpb.16.787. PMID 8220326.
- ↑ Tannins chemistry by Hagerman A. E. Archived 2013-08-26 at the Wayback Machine
This article is issued from Wikipedia. The text is licensed under Creative Commons - Attribution - Sharealike. Additional terms may apply for the media files.
