![]() | |
| Clinical data | |
|---|---|
| Other names | WY-48624; D-3112 |
| Routes of administration | Oral |
| Identifiers | |
| |
| CAS Number |
|
| PubChem CID | |
| ChemSpider | |
| UNII | |
| KEGG | |
| ChEMBL | |
| CompTox Dashboard (EPA) | |
| Chemical and physical data | |
| Formula | C23H32N2O6 |
| Molar mass | 432.517 g·mol−1 |
| 3D model (JSmol) | |
| |
| |
Enciprazine (INN, BAN; enciprazine hydrochloride (USAN); developmental code names WY-48624, D-3112) is an anxiolytic and antipsychotic of the phenylpiperazine class which was never marketed.[1][2][3][4] It shows high affinity for the α1-adrenergic receptor and 5-HT1A receptor, among other sites.[3][5][6] The drug was initially anticipated to produce ortho-methoxyphenylpiperazine (oMeOPP), a serotonin receptor agonist with high affinity for the 5-HT1A receptor, as a significant active metabolite, but subsequent research found this not to be the case.[5]
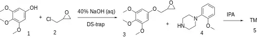
Synthesis
3,4,5-trimethoxyphenol (aka Antiarol) [642-71-7] (1) is alkylated with epichlorohydrin (2) to give [(3,4,5-Trimethoxyphenoxy)methyl]oxirane [74760-14-8] (3). Opening of the epoxide with o-anisyl-piperazine [35386-24-4] (4) completes the synthesis of enciprazine (5).
See also
References
- ↑ J. Elks (14 November 2014). The Dictionary of Drugs: Chemical Data: Chemical Data, Structures and Bibliographies. Springer. pp. 485–. ISBN 978-1-4757-2085-3.
- ↑ I.K. Morton; Judith M. Hall (6 December 2012). Concise Dictionary of Pharmacological Agents: Properties and Synonyms. Springer Science & Business Media. pp. 109–. ISBN 978-94-011-4439-1.
- 1 2 Matheson GK, Knowles A, Gage D, Michel C, Guthrie D, Bauer C, Blackbourne J, Weinzapfel D (1997). "Modification of hypothalamic-pituitary-adrenocortical activity by serotonergic agents in the rat". Pharmacology. 55 (2): 59–65. doi:10.1159/000139513. PMID 9323305.
- ↑ "Enciprazine - AdisInsight". adisinsight.springer.com. Retrieved 2017-06-01.
- 1 2 Scatina JA, Lockhead SR, Cayen MN, Sisenwine SF (1991). "Metabolic disposition of enciprazine, a non-benzodiazepine anxiolytic drug, in rat, dog and man". Xenobiotica. 21 (12): 1591–604. doi:10.3109/00498259109044408. PMID 1686125.
- ↑ Linden M, Helmchen H, Müller-Oerlinghausen B (1988). "Early phase-II semi double-blind study of the new alkaline propanolamine derivative enciprazine (short communication)". Arzneimittelforschung. 38 (6): 814–6. PMID 3178922.
- ↑ Engel, J.; Jakovlev, V.; Kleemann, A.; Enciprazine. Drugs Fut 1981, 6, 5, 278.
- ↑ Engel, Juergen; Fleischhauer, Ilona; Jakovlev, Vladimir; Kleemann, Axel; Kutscher, Bernhard; Nickel, Bernd; Rauer, Horst; Werner, Ulrich; Szelenyi, Istvan (1990). "Chemistry and pharmacology of the non-benzodiazepine anxiolytic enciprazine and related compounds". Journal of Medicinal Chemistry. 33 (11): 2976–2981. doi:10.1021/jm00173a012.
- ↑ Juergen Dr Engel, et al. DE2814168 (1989 to Evonik Operations GmbH).
- ↑ Axel Kleemann, Vladimir Jakovlev, Klaus Thiemer, Jurgen Engel, U.S. Patent 4,335,126 (1982 to Degussa Aktiengesellschaft).
- ↑ Banoth, Linga; Narayan, Thete Karuna; Banerjee, Uttam C. (2012). "New chemical and chemo-enzymatic routes for the synthesis of (RS)- and (S)-enciprazine". Tetrahedron: Asymmetry. 23 (17): 1272–1278. doi:10.1016/j.tetasy.2012.08.002.
- ↑ Narsaiah, A., & Nagaiah, B. (2010). A simple and efficient asymmetric synthesis of anxiolytic drug enciprazine. Synthesis, 2010(16), 2705–2707. https://doi.org/10.1055/s-0030-1258173

