PEG-PVA
Identifiers
Properties
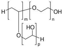
(C2H4O)m-(C2H4O)n-(C2H4O)p
Molar mass Variable
>30%
Solubility in organic solvents Insoluble
Except where otherwise noted, data are given for materials in their standard state (at 25 °C [77 °F], 100 kPa).
Infobox references

Polyethylene glycol–polyvinyl alcohol (PEG-PVA) brand name Kollicoat IR (BASF) is a multifunctional excipient[1] used as a pill binder as well as a wet binder. A typical formulation is composed of 25% polyethylene glycol (PEG) and 75% polyvinyl alcohol (PVA); where the vinyl alcohol moieties are grafted on a polyethylene glycol backbone.[2]

See also

References

  1. "Kollicoat® IR". BASF Pharma. Retrieved 2022-06-11.
  2. Kevin Williams (November 30, 2015). "Polyethylene Glycol-Polyvinyl Alcohol Graft Copolymer: A Peroxide-Free Binder". American Pharmaceutical Review. 18 (7).


This article is issued from Wikipedia. The text is licensed under Creative Commons - Attribution - Sharealike. Additional terms may apply for the media files.